Applying fail-safe brakes to stop and hold
The term fail-safe brake refers to a type of brake that engages to prevent shaft rotation when electrical power is removed for any reason. When power is restored, the brake releases and stays in the off position.
Like all friction clutches and brakes, fail-safe brakes generate torque through friction surfaces that are clamped together. The source of the clamping force distinguishes the two basic types — permanent magnet and spring-set.
In general, permanent-magnet brakes are used in applications that require frequent on-off cycling and consistent performance, whereas spring-set brakes are better suited for static holding applications and low-cycle dynamic operation.
Permanent-magnet brakes
Fail-safe brakes of the permanent magnet type work essentially the same as electric brakes except that the magnets generate a flux that clamps the friction surfaces together, Figure 1. Shaped like a horseshoe, the magnet assembly directs magnetic flux through inner and outer (North and South) poles, which attracts the armature. When the armature contacts the magnet assembly, it completes a magnetic circuit to engage the brake and provide stopping torque through the shaft to the driven equipment. Friction material between the inner and outer poles contacts the armature and reduces wear.
When power is applied to the brake, a magnetic coil in the magnet assembly generates an equal, but opposite, magnetic force that counteracts the permanent- magnet flux and releases the brake.
Selecting the correct power supply for the coil is critical to the operation of permanent-magnet, fail-safe brakes. Though release voltages may be specified at 90 or 24 Vdc, these values vary slightly from one brake to another. Therefore, the power supply must have an adjustable voltage output so the voltage can be set at a value that causes the coil flux to cancel the permanent-magnet flux and cleanly release the brake.
To ensure a strong attractive force between armature and magnet, the friction surfaces must be clean and burnished. Burnishing is a process in which the manufacturer runs the unit to breakin the friction surfaces, thereby maximizing friction and torque. In dynamic applications, the friction surfaces slip upon each engagement (which continues the burnishing effect), keeping them free from corrosion and debris. This slippage maintains correct alignment and full contact of the friction surfaces.
Permanent-magnet brakes are usually equipped with some type of mechanism to automatically compensate for friction surface wear. This mechanism maintains a constant air gap between the armature and magnet assembly to ensure consistent stopping time throughout the brake life.
From a cycling standpoint, permanent magnet brakes provide more consistent performance — torque and stopping times remain the same throughout the life of the brake. And they are well suited to applications where cycling rates range from about 5 to 10 cpm or higher.
Spring-set brakes
The three basic categories of spring-set brakes are electrically released, hydraulically released, and pneumatically released. All types use springs to provide clamping pressure when power is removed. Though electrically released brakes are explained here in detail, hydraulically and pneumatically released brakes function in a similar way except that a hydraulic or pneumatic cylinder is used to release the brake rather than an electrical device. Also, hydraulic and pneumatic units have the same basic sizing and selection criteria as electrical types.
Electrically released spring-set brakes use a system of springs and a magnetic coil, Figure 2. Without electrical power, the springs clamp the rotor (with attached friction pads) between a stationary end plate and a non-rotating armature, generating brake torque. When power is applied to the coil, magnetic force pulls the armature toward the coil, compressing the springs and releasing the brake.
Power supplies for electrically released spring-set brakes are less critical to their operation than those for permanent- magnet brakes. A simple, fixed-voltage power supply is all that is required to release the brake.
Spring-set brakes are well suited to static holding applications where a servo or step motor brings the load down to speed. When the motor is turned off, the brake holds the load in position. This type of brake can also handle occasional emergency stops.
Continue on page 2
These spring-set units do not normally include a wear adjustment mechanism. When used in dynamic applications, however, you can compensate for wear by manually repositioning the friction components.
Because spring-set brakes are applied mechanically, it’s easy to install a manual release on them. By contrast, separating the armature and magnet in a permanent- magnet brake can require considerable force. Here, a separate power supply may be required to release the brake.
Application and selection
Parameters involved in designing a fail-safe system include the type of engagement, accel/decel time, motor torque, rate of energy dissipation, and mounting configuration.
Engagement type. A primary selection parameter is the type of engagement, either static or dynamic. Permanent-magnet, fail-safe brakes are best for demanding dynamic applications because they automatically adjust for wear.
Accel/decel. Dynamic applications may require a specific deceleration time. This can be accomplished by sizing the brake based on system speed and the inertia reflected to the brake. A more common way is to size the brake based on the motor torque.
Motor torque. Consider the k factor of the motor in calculating torque, not just the steady-state 100% torque rating. For short periods of time, motors can draw extra current to provide more torque than the 100% rating. This is particularly important in sizing brakes for lifts and inclined conveyors. The brake should be able to stop anything that the motor can lift. To achieve this capability, make sure the dynamic brake torque at operating speed exceeds the torque developed by the motor. If there is enough dynamic torque to stall the motor, the brake can stop any load that the motor can lift.
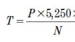
To determine the required brake size, first calculate the motor’s dynamic torque capability, using the formula:
where:
T = Torque, lb-ft
P = Motor power, hp
k = Momentary peak motor torque in percent of rated torque
N = Motor speed, rpm
Then consult the brake manufacturer’s dynamic torque curves, Figure 3. Select a brake with a dynamic torque rating at operating speed that meets or exceeds exceeds the peak torque developed by the motor.
The k factor, the momentary peak torque developed at start-up or overload, varies with motor size. For motors up to 3 hp, k is typically 2.75. Motors from 5 to 15 hp have k factors ranging from 2.00 to 2.25. Therefore, be sure to check the k factor for the motor being used.
Energy dissipation. To decelerate a system from a given speed to rest, energy must be removed from the system. Neglecting frictional and windage losses, brakes convert a system’s kinetic energy into heat, which must be dissipated.
To determine the drive system energy put into the brake in one cycle, use:
where:
E = Energy per cycle, ft-lb
WR2 = Inertia , lb-ft2
N = Speed, rpm
For repetitive cycles, the rate at which energy is put into the brake is:
Ei = E × f
where:
Ei = Rate of energy input, ft-lb/min
f = Cycling frequency, cycles/min
Continue on page 3
A brake’s ability to dissipate heat increases with speed. Because the brake spends part of each cycle at zero speed and part at operating speed, its average energy dissipation capability is:
where:
Eo = Average rate at which brake dissipates energy (energy output), ft-lb/min
t1 = Time at zero speed, sec
t2 = Time at operating speed, sec
E1 = Energy rate at zero speed (from manufacturer’s heat dissipation curve), ft-lb/min
E2 = Energy rate at operating speed (from manufacturer’s heat dissipation curve), ft-lb/min
The average heat dissipation rate of the brake (Eo) must equal or exceed the energy rate created by stopping the load (Ei). Exceeding the heat dissipation rating of the brake could cause inconsistent performance and premature brake failure.
Horizontal conveyors often use failsafe brakes just for convenience: when the motor stops, the brake maintains the conveyor position. Here, an oversize brake may stop the conveyor too fast, causing the load to slip or tip over.
Mounting configuration. Several brake mounting configurations are available including shaft mounted, flange mounted, and modular. A shaft-mounted brake attaches to a shaft via a tapered bushing, and the torque is taken up by a torque arm, Figure 1. With a flangemounted brake, the magnet is attached to a stationary part of the driven machine. There are two basic modular types: one fits on the motor shaft and the other fits on a special motor brake shaft. A brake module that attaches to the motor shaft can be used to convert a NEMA Cface motor into a brake motor.
Ensuring safety
Simply installing a fail-safe brake in a drive system does not guarantee that the system will fail safely. Creating a safe system requires good design practices and coordination of redundant components to eliminate potential hazards to personnel and equipment in the event of power loss. Designers should refer to appropriate ISO and ANSI standards for guidelines regarding application and safety factors that need to be considered. The particular standards will depend on the type of equipment and its intended use. Additionally, periodic inspection, testing, and verification of system performance must be implemented to ensure correct operation of fail-safe systems.
George Riesselmann is a senior application engineer, Warner Electric Div., Dana Corp., South Beloit, Ill.
About the Author
George Riesselmann
Warner Electric Div.
Voice Your Opinion!
To join the conversation, and become an exclusive member of Machine Design, create an account today!

Leaders relevant to this article:
