It’s easy to treat optical encoders as “black boxes” that need minimal consideration before they are installed to translate rotary motion into position or velocity feedback signals for a motion control system. However, a better understanding of encoder capabilities before specification and installation can result in a high-quality industrial encoder operating for many trouble-free years.
During the selection process, motion system designers generally focus on encoder resolution, overlooking the electronics associated with an encoder. While resolution is certainly a major factor in choosing an encoder, the operating bandwidth, the type of output driver, and the length and type of cable have an equal affect on system performance.
Resolution
Most engineers select an encoder based on its resolution, but often they over specify it. To understand how encoder resolution is achieved is to understand the heart of the device. Resolution is the number of up-down cycles produced on one channel within one revolution of the encoder shaft, referred to as counts per turn or pulses per revolution (ppr). Several interacting parameters affect encoder accuracy. The most significant are the number and accuracy of the patterns or slots on the code disc and the rigidity and stability of the mechanical assembly.
Discs with the highest accuracy have photolithographically produced patterns on glass. Common accuracy is a few ppm, or 5 arc seconds. Less accurate are chemically milled holes in metal discs. Errors can be as high as 100 ppm, or 2 arc minutes.
The direct-read (native) resolution value is dictated by the number of optical slots on the disc. Too many lines or slots decrease the percentage of light that can pass because the slots are necessarily made smaller to fit on the disc. Too many lines or small slots also increases the possibility that this light will produce fringing effects and crosstalk.
This leads to a reduction in signal strength as the counts increase. For example, in a 2.5-in. diameter encoder, signal strength decreases dramatically at counts over 2,500 per turn, with a corresponding decrease in reliability over time and temperature.
The mechanical stability of any industrial encoder is determined by its bearing and spindle design. Even ABEC 7 bearings have rolling errors of 20 ppm (26 arc seconds) or so. Resolutions higher than 20 ppm (50,000 counts per turn) will reflect this bearing noise in the form of position error. Thermal mismatches between mating components in the bearing assembly can also degrade performance over temperature, and ultimately reduce encoder life.
Aside from increasing the number of patterns or slots, there are techniques to obtain better resolutions than through the direct-read value, two of which are quadrature decoding and electronic interpolation.
Using a 2.5-in. diameter encoder with 2,500 counts per turn in quadrature as an example, resolution can be improved twofold, Figure 1, by detecting both up and down transitions on a single channel to get up to 5,000 counts per turn, and four-fold by using both up and down transitions of both channels to get up to 10,000 counts per turn. Most common controller chips have these functions built in, so it is a matter of setting a few hardware or software switches to activate these higher resolutions.
The choice of direct-read resolution or electrical interpolation is a design decision made by the manufacturer. A fairly common method for electronic interpolation is to use a voltage divider circuit to subdivide the raw analog signal into the desired number of interpolation steps. Interpolations as high as 20 times are possible with this technique. This is usually done internally to the encoder and is transparent to the motion system designer. It pushes the practical upper limit to about 200,000 counts per turn (10,000 direct x 20 = 200,000) which will handle most common industrial applications.
When specifying encoder resolution for any system it is a good practice to look at the error analysis for the system and choose an encoder that will read two to four times better resolution than your maximum error source. In the above example on the encoder, the error sources are typically about 20 ppm (26 arc seconds) and the maximum resolution available is about 5 ppm (6.5 arc seconds), or four times better.
Bandwidth
It is not possible to entirely separate the design parameters of resolution and bandwidth. They are related, through operating speed, by the formula:
where:
| F= | N x R |
| 60 |
F = Frequency, Hz
N = speed, rpm
R = Resolution, counts per turn
This relationship can be expressed in graphical form, Figure 2.
Generally the operating speed of the system is known or dictated by economic factors such as tradeoffs between system throughput and scrap rates. Inherent errors in a system will limit resolution.
Using the graph in Figure 2, engineers can determine the operating bandwidth of the system. The bandwidth is dictated by the type of output driver (line driver vs. open collector), length and type of cable, and the type of terminations used at the controller end.
Line drivers. Consisting of two transistors with collectors connected, line drivers ensure a low impedance output, typically less than 50 ohms. Because of their low impedance, they can be used with cable lengths to 1,000 ft and operating frequencies to 1 MHz. However, their high switching speeds mean that they are prone to ringing while their low impedance makes them more noise immune. For highest performance, the signals for these outputs should be specified to include the channel complements and be carried in shielded, twisted pairs. These signals should be fed to a high impedance differential-line receiver, or opto-isolator, which offers common mode noise rejection, Figure 3. Cable termination resistors match the receiver to the cable impedance to minimize signal ringing. This is usually done through trial and error.
Open collectors. Due to their higher impedance, open collectors are more bandwidth limited. A good rule of thumb is to use them at a maximum of 50 kHz with a maximum of 50 feet of cable. Their advantage is that they are the least expensive type of output. When specifying them, however, note that the pull-up resistors can be user supplied or factory installed within the encoder, or both. The arrangement is often dictated by the controller or the need to operate the encoder at a different voltage than the supply voltage, Figure 4.
Common installation problems.
When specifying encoders, engineers should pay attention to the interface of these output drivers. Common installation errors include:
• Not using a pull-up resistor with an open collector output.
• Improper sizing of the pull-up resistor.
• Termination of a line driver output without use of a line receiver.
• Improper cabling.
• Running a high-frequency output over long distances with an open collector output.
• Using a line driver without a proper line receiver at the other end.
• Cabling is a whole subject on its own, however, common problems include using unshielded cable or failure to specify a twisted pair or incorrect shield connections in electrically noisy environments.
Encoder bearing assemblies and load
To ensure a high quality, reliable output, code disc and spindle assemblies for encoders must be mounted in a bearing assembly. There is a common misunderstanding regarding encoders that since they have a bearing structure, they can carry significant loads such as those that result from installation misalignment.
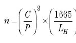
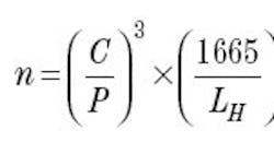
It is true that they can carry some loads, however, even a good installation can have a 0.003-in. parallel misalignment. There is a definite relationship between bearing loading and life, expressed as a formula:
n = bearing life, revolutions
C = dynamic capacity (from manufacturer’s data)P = bearing load, lb
LH = design life of bearing, hr
If the encoder is hard mounted to the motor shaft and the encoder housing is hard-mounted to a base plate, the bearing assemblies could experience side loads of several hundred pounds. From the bearing-load curves, Figure 5, bearing life is approximately inversely proportional to the third power of the load. Therefore, doubling the side loads results in 1/8th the useful life. The most common encoder mechanical failure is caused by excessive bearing load.
Standard, high quality bearing assemblies operate well at speeds to 10,000 rpm. At higher speeds, bearing operation is limited by a combination of heat generation in the races and surface microcracking caused by the high relative speeds between the races and the balls.
Bearing assemblies can be built with tolerances that allow their use at higher speeds, to 30,000 rpm. However, temperature can still be a problem. Most industrial encoders are built with shaft seals to protect the internal assemblies from dirt, oil, metal chips, etc. As spindle speeds increase, these seals can be a source of heat generation. Manufacturers take different approaches to shaft sealing techniques, so be sure to check with the particular manufacturer to ensure that they have addressed this concern.
Installation
All encoders must have a means to couple directly to the drive shaft to be controlled or measured. As mentioned earlier under the discussion of bearing loads, the center of rotation of the encoder is never exactly co-aligned with the center of rotation of the driving shaft. The solution to this misalignment is a coupling or flexible mounting scheme. Each manufacturer can make specific recommendations for an appropriate mounting.
The physical location and proper protection of the encoder are also important. If the encoder protrudes in a high-traffic area it may be subject to damage, such as from a hammer or forklift vehicle. If an encoder is situated near floor level, it can be perceived as a useful step. A cage or shield may provide proper protection.
In dusty or wet environments it is important to properly seal the encoder, usually through a shaft seal. Encoder bearings can be open (least protection), shielded (moderate protection) or sealed (most protection). A sealed bearing is sufficient protection against dust, but an additional seal on the shaft is necessary in applications where liquids are present. All encoder manufacturers should provide a leak test if the encoder will operate in a wet environment.
Orientation of the encoder is important as well. In general, the shaft up position is least desirable. Liquids or dust can pool around the shaft seal. If any liquid is present (dew, process liquids, oil, etc.), then the natural breathing process in cooling and heating the encoder may cause it to aspirate contaminants, which could get into the bearings or optics assembly and result in premature failure.
Scott Orlosky is sales and marketing manager for the Industrial Encoder Div., BEI Sensors & Systems Co., Goleta, Calif.
About the Author
SCOTT ORLOSKY
Industrial Encoder Div.
Voice Your Opinion!
To join the conversation, and become an exclusive member of Machine Design, create an account today!

Leaders relevant to this article:
