Pneumatics Toolkit: How to Calculate Energy Savings
At a Glance:
- Efficient design of pneumatic systems promotes sustainable production, reduces overall costs and increases dynamic characteristics of the machine.
- The correct choice—and design—of the system is the first step for achieving an energy-efficient solution.
- Free online tools provide economical calculations for choosing the most cost-effective system.
In a world ever more pressed by natural and societal challenges, increased energy efficient solutions in industry offer a unique opportunity to reconcile economic competitiveness with sustainable development. Energy efficiency improvements offer an immense opportunity for better allocation of natural resources and well-being development; yet, several industrial sectors still make use of inefficient systems.
This is the case with pneumatic systems, widely used in the industrial sector due to their robust and flexible design, yet often poorly designed and, therefore, highly energy-inefficient. Indeed, energy consumption is usually not taken into account when designing pneumatic systems (instead, focusing the design on functionality and pricing), leaving pneumatics as a non-efficient technology that is often used for simpler tasks with lower requirements on dynamic characteristics.
This article shows that efficient design of pneumatic systems not only promote sustainable production, but also help make the systems cheaper, reduce operational costs, increase dynamic characteristics of the machine and reduce potential failures. Moreover, the article gives a simple overview of energy-saving measures and offers handy tools for engineering and economical calculations for choosing the most-cost effective system.
Figure 1 represents an overview of all possible energy savings measures. Actuators include cylinders, motors, nozzles and vacuum applications. Blue dots are related to the savings of actual flow directly, green dots express mechanically-related saving measures.
Cylinders and Control Technologies
Energy saving solutions are generally aimed at the reduction of the drive’s demand on absorbed mass flow. This can be done by reducing the pressure level and the filling volumes as well as by limiting the opening times of the directional valves. Some saving solutions recycle the compressed air from the drive with the aid of a recovery circuit. Conversely, the implementation of energy-saving measures often requires higher investment and implementation costs; however, in many cases, there is no detailed information about the savings potential when using a specific energy-saving solution on a specific pneumatic drive.
This information is fundamental for a comprehensive decision-making process—that is, if a specific energy-saving drive solution is economical in relation to additional investment costs. The savings potential can only be determined by comparing the energy demand of the original and the energy-saving drive structure. In this case, the cost-effectiveness and long-term financial benefits of these measures are usually not immediately apparent to machine builders when designing a machine. As a result, potential energy efficiency measures are often not implemented, so the end-user ends up paying more.
Several energy efficiency solutions are available on the market, ranging from pressure reducers to intelligent systems that ensure savings up to 50% of the total energy consumption. The correct choice (and design) of the system is the first step for achieving an energy-efficient solution. Component suppliers and manufactures provide various tools for engineering calculations.
For instance, filtration systems manufacturer SMC offers an efficiency tool to calculate energy consumption for different technologies, whereas pneumatic components manufacturer Aventics has an engineering tool that enables calculation of the compressed air consumption of cylinder drive. The calculation of the compressed air consumption is based on a summation of the filling volumes and the pressure level under the assumption of isothermal system behavior.
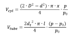
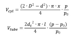
To calculate the energy consumption for a double stroke of a standard cylinder drive, equations for the air consumption of cylinder, and dead and tube volumes are required:
Where Vcyl is consumption of compressed air of cylinder in Nm3, D-piston diameter, d = rod diameter, x = stroke, p = pressure level, p0 = ambient pressure, Vcyl = tube consumption, dt = internal tube diameter and l = tube length.
The optimization of the design parameters is an effective method to adapt the energy requirements of both existing oversized and newly designed drive axes with respect to the driving task. The switching and control technology measures include energy-saving circuits. These circuit concepts limit the supplied mass flow or use the exhaust air for the return stroke of the drive via the principle of an air spring.
Optimization of Design Parameters: An Example
Chosen application: A pneumatic press with supply pressure 5 bar, with the press capacity of 500 N down and back with the mass of 2 kg.
Application of energy saving measured to a cylinder drive can be summarized in following decision-making matrix:
Cylinder Diameter Recalculation
The first step is to check if it is possible to change the cylinder and, if so, to check if the diameter of the cylinder is chosen correctly. Commonly, cylinders are oversized, leading to unnecessary energy consumption and bigger dead volumes (for example, cylinder and tubes), impacting further on losses in dynamics, higher mass of the system and increased acquisition costs.
The definition of the ideal diameter of a cylinder is indeed crucial for achieving optimal energy consumption with respect to the expected task. In that sense, it is important to consider parameters such as required forces, pressure level in the cylinder inlet, required velocity, time, type of mounting and friction forces.
Few companies offer tools for evaluating cylinder sizing. Examples of these tools are Easy Sizer by Metal Works, which calculates cylinder diameter and required flow rate; the Aventics engineering tool, which chooses the cylinder drive from a user-defined cylinder rod piston diameter range and type and pre-defined cushioning system; and the brand-neutral tool from Direktin, which provides calculations for diameter, volume flow rate, tube diameter, pressure drop and suggestions on cushioning system and input parameters that require only mechanical data.
In practice, the correct choice of the cylinder diameter does not impact its functionality, but it does have an impact on the energy consumption. The Direktin tool demonstrates that the poor sizing of a cylinder’s diameter can lead to an increase of energy consumption up to 40%.
ISO-cylinders are row represented by standard numbers; the higher the number is, the bigger the gap is between the current and next size (e.g., 40, 50, 63, 80, 100). SMC offers in its efficiency program cylinders with intermediate non-standard diameters—for example, 45 mm—that can save up to 25% of energy consumption. Direktin’s calculation tool proposes the next possible diameter from SMC’s efficient program and shows the calculated diameter.
Reduce Supply Pressure
When a cylinder is already installed, users can always check if the system is oversized by using the above-mentioned tools. In this case, users can save energy on their systems by reducing the pressure levels.
This solution, however, is not optimal, as it requires additional pressure reduction, and the energy savings are lower in comparison to a correctly sized cylinder. Moreover, dead volumes influence the velocity performance for the studied application (Fig. 5); the velocity of the bigger drive with reduced pressure is lower. The primary reason is dead volumes, which are about 10 % of the piston volume. The value of dead volume gains with each cylinder size increasing filling time and, therefore, motion cycle.
The tube diameter also plays a role. Usually, it is chosen according to supply pressure and the total cylinder volume. In these cases, the tube with the diameter of 8 mm was chosen for the cylinder size up to 40 mm; for bigger cylinders, the pipe of 10 mm diameter was used. Length of the pipe in all cases is 1.5 m. Presented results show the importance of the correct sizing of the actuator at the concept phase, where the smaller cylinder with higher pressure level consumes less energy than the bigger cylinder with the lower supply pressure level.
However, this approach works for multi-axis systems within one machine or even on the level of the production plant. Adaption of pressure level can also be used for the group of actuators, creating a multi-pressure level network.
Another opportunity for pressure adjustment is the reduction only in one motion direction. Many applications require force in one direction only.
Reduced Pressure Return
In many applications, cylinder do not require any effort for the return stroke. Usually, lower pressure is sufficient to ensure the displacement. In the case of the demonstrated application, the effort is required only to lift the mass, while for descending the lower pressure needed. Reducing pressure level for descending guarantee saving in energy consumption up to 28 %.
Energy-Saving Control
Along with the optimization parameters, such as diameter and pressure level, there are ways to reuse exhaust energy and use expansion energy for the motion. This article looks at the bridge circuit and air reservoir.
The use of the bridge circuit and the premature disconnection of the compressed air supply from the pneumatic actuator make the energy savings potential particularly evident in comparison to the standard circuit. The bridge circuit consumes less than 50% of the amount of compressed air per double stroke in contrast to the standard circuit. The curves of the chamber pressures show that the short-term ventilation time of the cylinder chambers limits the pressure level in the present case to about 4 bar. After the movement has started, the chamber pressure drops during extension.
This phenomenon occurs because the movement of the piston increases the volume of the chamber, but the compressed air supply is interrupted. The pressure in the end positions is significantly lower than in the standard circuit, whereby a secure holding of the position is uncertain.
An exhaust air recovery presents a simple air spring set at the certain level, which offers up to 40% of energy savings. For this application, the size of air reservoir has to be identified and recalculated for each application and requires additional space for the installation.
Advantages of a bridge circuit were implemented in commercial solutions by industrial manufacturers Festo and Cy.Pag, which offer different solutions with significant energy savings, embedded monitoring and other options.
FMT from Festo represents a control block of valves with various functions to operate a pneumatic cylinder, whereas Cy4.O from Cy.Pag is an intelligent actuator designed to monitor and optimize the filling of pneumatic cylinder chambers, effectively transforming the traditional pneumatic actuator into a pneumatic actuator that respects Industry 4.0 principles.
Smart control systems enable reduction of energy consumption but increase the investment within components. The decisive factor is the economical assessment and pay-back period. It depends on the operational data of the machine, such as hours per year, cycles, energy cost and acquisition cost of components. Moreover, each solution offers additional features, such as energy monitoring or better cushioning properties.
Direktin’s free tool offers economical calculation of life cycle of the machine. It proposes the brand-neutral suitable energy saving measures described above and enables calculation of pay-back period of suggested solutions with the provided data about additional investment.
In this particular case, an alternative control strategy by means of bridge circuit (CROV) performs higher savings. However, lowest pay-back shows the use of reduced pressure return. An alternative diameter of 45 mm can be used for this case and promises 25% of energy savings, with less than one year return on investment. Tube length reduction is always a good option for more detailed tube sizing. (Pressure loss calculations are outside the scope of this article.)
All in all, the cost-effective choice for a cylinder drive solution is supported by a number of free tools available online. New solutions promise savings up to 50% and, together with additional functions, make machines faster, cheaper and better.
Elvira Rakova holds a Ph.D. in mechanical engineering with a focus on the energy efficiency of compressed air systems. She is the founder and CEO of Direktin, an online platform for reducing the energy consumption of compressed air systems.
Editor's Note: Machine Design's Women in Science and Engineering (WISE) hub compiles our coverage of gender representation issues affecting the engineering field, in addition to contributions from equity seeking groups and subject matter experts within various subdisciplines. Click here for more.










