High-Precision Motion Components Drive Advances in Semiconductor Production
As semiconductor manufacturers work to produce more powerful chips with shrinking die sizes, their production machines must be faster and highly reliable in order to deliver the desired yields. Achieving these goals in automated wafer handling, inspection, cleaning and other equipment requires attention to machine design fundamentals including the motion control components at the heart of these machines.
When selecting motion components for modern fabrication equipment, it is important to choose crossed roller bearings (CRBs), linear guides and positioning tables that can execute complex motion profiles with superior accuracy over millions of cycles. Motion components with these capabilities and other high-performance features will ensure you achieve greater returns on your substantial capital investments.
ROI Depends on Precise, Reliable Motion
With chip manufacturing performed at nanometer scale and at soaring costs, several challenges can hinder your ability to maximize production and profits. For motion components, these challenges include:
- High production and reliability. Lower productivity adds to production costs, so components need to meet fabricators’ critically needed high-throughput targets. They also must accurately perform millions of motion cycles continuously without causing unwanted shutdowns for repairs.
- Tool complexity. Virtually the entire fabrication process is automated, requiring motion components that can execute complicated kinematics and positioning to produce sophisticated chips.
- Space constraints. Specialized equipment designed to handle delicate wafer fabrication processes often requires the smallest parts.
- Defect prevention. When producing chips at 4 nanometers process, even the slightest variation in accuracy can ruin wafers and cause significant losses. Extreme-precision fabrication equipment demands highly repeatable nano-scale positioning and accuracy.
- Contamination prevention. In cleanroom environments, reliable dust prevention is essential at all times. Otherwise, particles may contaminate wafers or sensitive equipment.
High-Precision, High-Performance Components for Semiconductor Fabrication
When it comes to semiconductor fabrication, not all motion components provide the high performance needed to address these challenges. Here is an overview of some typical motion components used for next-generation fabrication equipment along with their features, attributes and selection considerations:
Crossed Roller Bearings (CRBs)
CRBs are a natural fit for complex, multi-axis motion typically found in semiconductor manufacturing applications. Unlike other bearing types such as thin section bearings, CRBs feature a unique design in which the rollers are alternately crossed at right angles to each other between inner and outer rings. This arrangement creates greater contact with the raceways to allow the bearing to handle complex kinematic motion from any direction at the same time.
In addition, the larger line contact area on crossed rollers allows CRBs to exhibit less deflection under load and very small elastic deformation versus point-contact bearing types. This allows them to achieve greater stiffness and repeatability, while providing the micron-level displacement that pick-and-place systems and wafer handling equipment demand.
For robotics, CRBs’ orthogonal array of rollers means they can take multi-directional load just by one bearing, and take up less space than other types of bearings. This compactness is especially ideal for mechanisms that are put in a tight space, such as wrist and arm motion joints. In addition, CRBs can be delivered with factory-adjusted internal preload. CRBs exhibit lower rotational torque than that of plain bearings and some multi-point-contact ball bearings, and the difference between the static torque and the dynamic torque is minimal. As a result, crossed roller bearings can help machines achieve high precision, consume less power and limit operating temperature increases for greater overall efficiency.
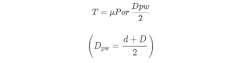
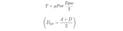
Where,
T: Rotational torque, N • mm
μ: Friction coefficient (Approx. 0.010)
Por: Static equivalent radial load, N
d: bearing inside diameter, mm
D: bearing outside diameter, mm
These robotic joint-suitable bearings are available in a wide choice of sizes and constructions. At IKO, the lineup includes CRBs with a built-in cage or separators that exhibit a small coefficient of friction (CoF), thereby reducing wear for better power consumption and downsizing the drive as well as the entire application. A super slim-type (CRBT Series) and mounting hole type are also available. These CRBs can also be outfitted to prevent them from contaminating cleanrooms and modified to operate in vacuum environments.
Linear Guides
In semiconductor fabs, linear guides must meet extremely demanding performance criteria despite space constraints and the need for longevity, such as in wafer fabrication equipment. Linear guides must be small enough yet strong enough to perform as needed with very little maintenance.
In order to get the most performance in limited space, look for a linear guide with a simple structure and high quality. For example, ball-type linear motion rolling guides structured with two rows of balls that make contact with the raceway at four points are able to deliver high stability and accuracy—even when the load direction or complexity varies, especially those with well-controlled preload. This multi-directional load capacity is especially desirable when orienting and installing parts at high speeds.
You can find this two-row arrangement in IKO’s linear guides. The recently announced LWLF2, for example, offers the lowest sectional height in the industry along with a 2-millimeter track width and a slide unit width of 5 millimeters. Stainless steel construction is also standard, making the guide ideal for applications where rust prevention oil can’t be used, such as in cleanrooms.
“Master Grade” Linear Guides
IKO’s unique “Master Grade” Linear Guides deliver air-bearing level running precision. Profile rail style linear bearings use rolling elements that allow for small “wobble” while in motion. The company has developed a unique combination of technologies for the “Master Grade” Linear Roller Guide that successfully suppress the unwanted small movement.
Positioning Tables, Stages and Mechatronics
When an automated machine requires a mechanism to guide or position a load, positioning tables are an excellent choice thanks to their extreme precision and reliability. However, positioning tables come with a variety of features and components that can make selection difficult. When evaluating positioning tables, start with the driving mechanism. Linear motor-driven and ball-screw driven positioning tables are typically appropriate for semiconductor applications.
Few linear motor positioning tables are designed to provide controlled motion within small spaces, offering the most precision, speed and reliability for automated equipment such as wafer handling equipment, inspection systems and pick-and-place. Consider for example of the Nano Linear Motor Table NT from IKO, which adopts a moving magnet design and comes with high-performance neodymium magnets that generate a large thrust force. This significantly lowers the overall height and eliminates dragging cables. It also enables large accelerations for high-speed and highly responsive positioning. Without mechanical power transmission components between the motor and the load, linear motors can be free of backlash, which allows them to achieve high positioning accuracy and support a cleaner environment.
The NT Series of linear driven positioning tables are as small as 62 millimeters in length with just an 11-millimeter sectional height. An ultra-thin version measures only 38 millimeters wide. The series also boasts exceptional attitude accuracy down to 5 seconds or less and straightness of 1 micrometer or less.
While some ball screw positioning tables are designed to move heavier loads or at slower speed, they offer features that also make them an attractive option for automated semiconductor applications. Small and ultra-small ball screw tables are available with low sectional heights and narrow widths. They can also deliver high repeatability for applications requiring high precision.
One such ball screw positioning table—IKO’s TC Series—is suitable for ISO Class 3 (U.S. Fed. Std. 209E Class 1) cleanroom applications. These lightweight tables feature minimal cross-sectional height as low as 50 millimeters with bed widths from 50 to 86 millimeters. Not only are their major components made of high-strength, corrosion-resistant aluminum alloys, stainless steel and precision ball screws, they also come with stainless steel sheets, side covers and suction cups to prevent any dust generated inside the table from escaping into the cleanroom environment.
Look for Uncompromising Precision and Performance
The semiconductor industry is under acute pressure to build next-generation automated equipment and processes that deliver greater throughput and ROI. That means motion components cannot compromise on precision, performance and reliability. Be sure to partner with a motion component manufacturer that delivers these characteristics while also ensuring long-term, maintenance-free operation.
This article was prepared by Karl Wickenheisser, VP of Sales & Marketing, IKO International and Yugi Ikeuchi, GM, Engineering & App Development, IKO International. IKO International has a long history of providing innovative CRBs, positioning tables and linear guides, plus application expertise for demanding industries and challenging environments like semiconductor manufacturing.
Worry-Free Lubrication for Cleanroom Environments he Nano Series of Digital Servo Drives
In any moving system, proper lubrication is a key concern. Semiconductor fabrication equipment entails smaller components and machinery, where lubrication is even more important due to the difficulty of accessing hard-to-reach areas such as cleanrooms. IKO solves this problem with a built-in lubricating element called C-Lube inside select linear guides and positioning tables to provide long lasting, maintenance-free operation through capillary action.
C-Lube offers a controlled release of lubricant over 20,000 kilometers of operation for five years, and this technology can be integrated into bearings as small as 3 millimeters wide without touching the track rail, enabling smooth motion without increasing rolling resistance. Keeping this friction to a minimum is especially important in applications involving high speeds and fast accelerations.
A Promising Alternative to Greases in Vacuum and Clean Environments
When maintaining motion components, lubrication greases that typically last a relatively long time tend to have poor outgassing characteristics and are not suitable for sophisticated high-vacuum applications. On the other hand, vacuum-suitable greases do not deliver long durability.
That’s why IKO has developed a lubricant (Liquid Crystal Lube) that aims to bridge the gap between high performance and superior outgassing characteristics with the purpose of eliminating the longstanding trade-off. The technology is a promising alternative to conventional lubricating greases composed of base oils and thickeners.
Liquid crystal lubricants are completely different. When applied to surfaces that make contact, this new class of lubricant forms molecular aggregates that create slippery “ordered boundary layers” that easily slide past each other. This unique molecular structure adheres better to metal surfaces and minimizes evaporation. In testing, IKO’s Liquid Crystal Lubricant products exhibited exceptional outgassing performance at 10-5 Pa—even at high temperatures. Here are the results:
- Outgassing. Very little detection in mass spectrometry in a vacuum and high temperature at 100°C and 200°C.
- Evaporation. Zero net weight loss in an open atmosphere, even at 100°C over 770 hours.
- Dust generation. One-tenth the amount of particles compared to lithium soap-based grease, and also superior to cleanroom grease and vacuum grease.
The testing also identified other performance benefits, including dramatically better long-term durability and lower rolling resistance than conventional lubricants. Taken together, Liquid Crystal Lubrication technology opens up possible applications in semiconductor fabrication and sophisticated applications. It is available from IKO as part of a linear guide or crossed roller bearings.
About the Author
Karl Wickenheisser
VP of Sales & Marketing, IKO International
Yugi Ikeuchi
GM, Engineering & App Development, IKO International
Voice Your Opinion!
To join the conversation, and become an exclusive member of Machine Design, create an account today!

Leaders relevant to this article:












