Bank shot
Problem 169 — Money is the root of all fine print, as this month’s problem by Walter Jasiolek of Northville, Mich., demonstrates
“Fellow employees,” intoned T. Bone More, president of the More Bank & Trust, “I’ve come all the way from my office to this meeting room to explain our new loan program, the Strategic Equity New-model Draft program or SEND.
“The loan period is one year,” continued More. “Our logo is this:
SEND
+MORE
MONEY
“The computer program that calculates the interest is configured so that SEND is the principal borrowed by the customer, MORE is the interest we charge,” chuckled More, “and MONEY is what the customer pays back.”
If each letter of the letter represents a unique, whole number between 0 and 9, inclusive, and “M” ≠ 0, what is the principal, interest, and total amount?
Send your answer to:
Fun With Fundamentals
POWER TRANSMISSION DESIGN
1100 Superior Ave.
Cleveland, OH 44114-2543
Technical consultant: Jack Couillard, Menasha, Wis.
Solution to last month’s problem 168 — You rarely go around in circles if you answered 43.6 mph.. Here’s how Bluff got “up to speed.”
For the system to be in equilibrium, each time Wurme and the boat make a revolution, Bluff and the inner tube must also make a revolution.
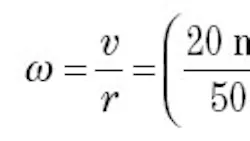
Recognizing this, the basic equation for angular velocity is:
v = r ω
Where:
v = linear velocity of boat, given as 20 mph
ω = angular velocity, radians per sec r = radius of circle traveled by boat, given as 50 ft.
b = 75 ft x sin 30 = 37.5 ft
A = 75 ft 3cos 30 = 64.95 ft
Using the formula for a right triangle:
