Revised duty cycle calculations using the four-parameter thermal model
High-performance motion control demands compact and economical servomotors. Fortunately, because most servo applications only intermittently demand maximum continuous-torque motor output, a smaller motor that occasionally outputs peak torque is usually sufficient.
In fact, Underwriter Laboratories (UL) now recognizes that both servo and stepper motors typically output peak torque intermittently ¡ª and recently issued its revised UL1004 electric motor standard. As shown in Section 45 of UL1004-6, both servo and stepper motor manufacturers are now required to publish both a continuous safe operating area (SOAC) plus an intermittent torque-speed curve for each motor.
Why change models?
Banking on a certain operation profile is not without risk. As we'll explore further in this third and final Course Audit installment, using four-parameter models to calculate dynamic winding temperatures allows designers to extract the most performance from a given servomotor, while preventing windings from overheating. In contrast, using two-parameter models for dynamic temperature calculations increases the likelihood of improper motor selection ¡ª and leaves engineers in the dark about the true causes of failure when it occurs.
In Parts I and II of this series, we discovered that peak current in excess of the motor's 1¡Á maximum continuous value supplied for too long causes motor windings to overheat. In other words, the windings exceed maximum rated temperature TR ¡ª or just burn up completely.
To prevent overheating failures, designers must accurately calculate the motor's safe duty cycle for each specific application. Commonly used for this purpose are duty-cycle calculations first published by Noodleman and Patel in 1973. This two-parameter model oversimplifies motors by assuming one dynamic operating temperature for the entire motor.
In fact, real motors exhibit measurable temperature gradients, as electrical windings heat much more quickly than, say, the motor case. In short, two-parameter models grossly overestimate how long a servomotor can safely output peak torque in excess of 1¡Á maximum continuous value.
Let us now compare the differences between the duty cycle calculated by both the two-parameter and four-parameter thermal models.
Under cyclical operation
Calculating realtime motor temperatures is useful, but beyond the scope of this paper. Instead, let us explore how to consistently prevent windings from exceeding TR during repetitive power-dissipation cycles.
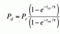
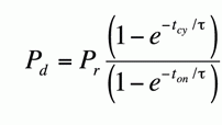
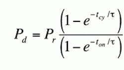
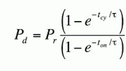
Combining the two-parameter heat-up and cool-down equations gives the expression for the peak power that a motor can safely dissipate:
Where Pr = Maximum continuous or rated power dissipation
ton = Ontime
tcy = Cycle time, and
¦Ó = Motor thermal time constant
Solving for maximum ton (during which the motor can safely dissipate repetitive power pulses Pd) gives:
Where Pd/Pr = Power ratio
toff = Off time
How do we apply this equation? Here is an example: Assume 1.5¡Á power is repetitively dissipated inside the motor. We must determine how much ontime can occur before applied power must be shut off to allow the motor to cool to TC. Assume that this period of zero power dissipation occurs for one thermal time constant before 1.5¡Á power dissipation is reapplied.
Solving for Pd/Pr = 1.5 and toff = ¦Ó the maximum ontime is:
In fact, the motor can repeatedly dissipate 1.5¡Á power pulses for 81.7% of a thermal time constant, but after each pulse, power must completely be turned off and the motor allowed to cool for one thermal time constant. This gives total cycle time tcy = 1.817 ¦Ó. Therefore, for this intermittent operation with a 1.5¡Á power cycle:
Percent duty cycle (1.5¡Á power)
 = 0.817¦Ó/ 1.817¦Ó
 = 45%
Various Pd/Pr ratios (obtained from the ton equation) and percent duty cycles (as a function of repetitive, intermittent power dissipation) are shown in this article's table. Power dissipation in the motor's winding corresponds to Pd = I2R, so percent duty cycle is also a function of current greater than the motor's 1¡Ámaximum continuous current value.
Page 2 of 2
At or below 1× current, the duty cycle is 100% — so long as the application's total ambient condition is equivalent to what's specified by the manufacturer in motor data sheets. If the motor is subjected to different ambient temperatures, heat sinks, drive electronics, and so on, then it's recommended that the correct 1× current and maximum continuous power dissipation values be obtained for the application.
Rules of thumb: Misleading
Rules of thumb are widely used by engineers to approximate “acceptable” duty cycles when a servomotor operates within its peak or intermittent torque-speed curve. Other rules of thumb approximate how long a given servomotor can output peak torque on an intermittent basis. Often, these roughly approximate limits in terms of seconds or half-seconds of ontime in peak torque mode.
It's often assumed that if a motor operates in peak-torque mode for only one second, and then goes off for one second, the corresponding to 50% duty cycle won't cause the motor to overheat. As shown in the table, even the oversimplified two-parameter model disproves this assumption: Notice that for 2× peak current, corresponding to 4× power dissipation, the duty cycle amounts to only 16% for the repetitive on-off intermittent power dissipation cycle used to calculate the table. Therefore, depending on the motor's thermal time constant, if 2× peak current pulses with 50% duty cycle are applied too many times in succession, the motor's windings overheat and will likely fail from heat damage. For this reason, blindly applying rules of thumb spells trouble for high-performance applications, particularly for miniaturized designs.
Rapid winding heatup
The four-parameter thermal model assigns the motor's electrical winding its own thermal time constant, different from the rest of the motor. Numerous temperature measurements on servomotors of all sizes show that the winding's thermal time constant is approximately 10 times shorter than it is for the outer motor case. Peak current also results in additional I2R power dissipation — entirely within the winding. For these two reasons, motor windings heat much more quickly than the case, and reach TR much more quickly as well.
In addition, temperature sensors are normally located inside motors — but there isn't always enough space to insert this sensor directly into the windings of smaller motors. Even when placed on the winding, this sensor isn't always located where the winding's hotspot temperature occurs.
In summary, a temperature sensor won't always protect the motor's winding from overheating or even burning up.
All servomotors should have a hotspot safety margin so that the winding's maximum allowable hotspot temperature remains compliant with UL 1446 insulation standards — particularly when the motor outputs peak torque.
Using the same repetitive power dissipation cycle as our first example, the four-parameter heatup and cooldown equations are combined and solved simultaneously to obtain the maximum allowable duty cycle as a function of peak power dissipation. This figure is subject to the boundary condition that never allows winding temperature to exceed its maximum hotspot value. One caveat: The four-parameter solution is much more difficult to obtain than two-parameter models, as winding and case temperature interact, and complicate safe winding duty-cycle calculations. The solution is to solve these equations numerically using Matlab software.
Software simplifies calculations
In Matlab, engineers can program dynamic heatup and cooldown equations for both the winding and the case using Laplace Transform notation. Matlab allows programming of dynamic changes in the winding's electrical resistance as a function of temperature. This improves accuracy, as dynamic input functions are the actual time-dependent current supplied to the motor (instead of a conservative constant-power dissipation for the two-parameter model.)
As a result, Matlab shows final TC - TR transition temperatures and dynamic heatup and cooldown temperatures for both the winding and case — values that change over time during repetitive, intermittent peak-current cycles.
Experimental verification
As shown in this article's table, four-parameter safe duty cycles are significantly smaller than the two-parameter values. For example, most servomotors are specified with at least a 2× peak to 1× continuous current rating — corresponding to 4X peak power dissipation in the winding.
The two-parameter model calculates 16% duty cycle for 2× peak current; in contrast, the four-parameter model reports a safe duty cycle of only 5% — significantly lower. Another example: For 3× peak current (9× power) the two-parameter model allows a 7% duty cycle, while the four-parameter model calculates a safe duty cycle of only 1.5% — a value 466% lower.
Furthermore, this percent difference increases with peak current values: For 6× peak current, there's a 600% difference in calculated duty cycle. It begs the question: Are four-parameter thermal models overly conservative? As we'll now explore, the answer is no.
Heat sinking
Consider dynamic temperature measurements made on a brushless dc (BLDC) servomotor that is 40 mm in diameter with a 130° C maximum continuous operating temperature. These motors are constructed using UL-recognized Class 180 H insulation for a maximum hotspot temperature of 180° C. The result: A 50° C hotspot safety margin, quite high for the industry. Data sheets for BLDC motors from different manufacturers indicate more typical safety margins of 0 to 15° C.
Our 40-mm motor is initially commanded to operate continuously with 1× current until winding temperature stabilizes at a 130° C maximum continuous value. Assume a 25° C ambient temperature with the motor attached to a 6 × 6 × ⅛-in. heat sink. On this heat sink, case temperature is stabilized at 90° C. (When unattached to this aluminum heat sink, this same motor's free-standing case stabilizes at 100° C; 1× continuous current must also decrease by 28% for the increase in winding-to-ambient thermal resistance.
Furthermore, at 40° C ambient temperature, the motor's 1× maximum continuous current value is further decreased. In short, the complete ambient condition to which the servomotor is subjected must be considered. If ambient conditions are not equivalent to the one specified by the manufacturer in motor data sheets, parameter values may be inapplicable — and engineers must consult the manufacturer to obtain correct values.
Next, our motor is pulsed with 3× peak current pulses: It is on for two seconds, and then off for 132, and cycled nine times. The measured 1.492% duty cycle agrees well with the 1.5% value calculated by the four-parameter model. During each two-second on period, measured winding temperature rises from 130° to 180° C; it takes the full 132 seconds for the winding to cool back to 140° C. Meanwhile, case temperature fluctuates slightly around 100° C — also predicted by the four-parameter model.
Similar testing on larger servomotors at their unique 3× peak current values for 1.5% duty cycles returns similar results. Servomotors with hotspot safety margins of less than 50° C can also be investigated with our setup: In this case, the winding's allowable hotspot temperature is simply changed for the four-parameter model within Matlab.
Resources are available from the author at [email protected]. For more information on the SLM40 servomotor, upon which this article's figures are based, visit exlar.com. Its 50° C hotspot safety margin is far above average.
Test yourself
The World's Smartest Design Engineer tournament will begin anew in 2011.
Questions on the technical information in this article will be shuffled into the hopper.
Visit smartestdesignengineer.com to register and play. The new game will award several monthly prizes; participation is free.
